Digital Electronics

Master the world of digital circuits and logic design

7 Core Units
15+ Logic Gates
30+ Circuits
πŸ”Œ

About The Subject

Explore the fundamentals of digital logic and circuit design

Overview

Digital Electronics is the branch of electronics that deals with digital signals and the design of circuits that use logic gates to perform various operations. Unlike analog electronics, which use continuous signals, digital systems represent data using discrete values β€” typically binary digits (0 and 1). This makes digital systems more reliable, scalable, and easy to design.

πŸ”’

Number Systems

Digital electronics uses binary, octal, decimal, and hexadecimal number systems to represent and manipulate data efficiently in different contexts.

πŸšͺ

Logic Gates

Basic building blocks of digital circuits that perform logical operations like AND, OR, NOT, NAND, NOR, XOR, and XNOR gates.

πŸ“

Boolean Algebra

A mathematical method used to simplify and analyze logic circuits using algebraic expressions and theorems like De Morgan's laws.

πŸ”§

Combinational Circuits

Circuits whose output depends only on the current inputs, such as adders, multiplexers, decoders, and encoders.

⏰

Sequential Circuits

Circuits whose output depends on both current inputs and previous states. Examples include flip-flops, counters, and shift registers.

πŸ—ΊοΈ

Karnaugh Maps

A graphical method used to simplify Boolean expressions and minimize logic circuits for optimal performance.

πŸ‘¨β€πŸ«

Faculty Information

Meet your course instructor

R

Mr. RAVI

Assistant Professor

πŸ“ž +91 9704155838
🏒 Electronics Department
πŸ“‹

Syllabus

Complete course curriculum and topics

Digital Electronics Syllabus
πŸ“–

Study Materials

Download notes and reference materials

πŸ“₯ Download Notes PDF

Click to download the complete Digital Electronics notes (PDF, ~3.8MB)

❓

Important Questions & Answers

Previous year questions with detailed solutions

Answer:

a) Convert (340)₁₀ into binary (?)β‚‚:

Binary conversion of 340

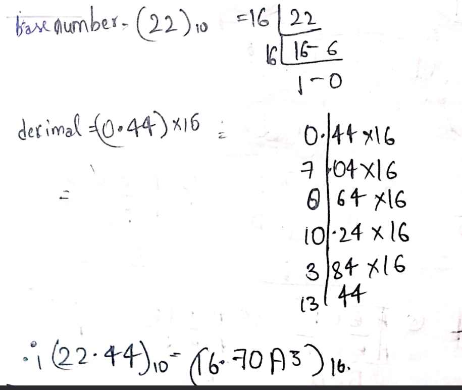
b) Convert (22.44)₁₀ into hexadecimal number (?)₁₆:

Hexadecimal conversion of 22.44

c) Explain De Morgan's theorem:

De Morgan's theorems are two fundamental rules in Boolean algebra that relate AND, OR and NOT operations. They state that:

  • The complement of conjunction (AΒ·B) is the disjunction of complements (AΜ… + BΜ…)
  • The complement of disjunction (A+B) is the conjunction of complements (AΜ… Β· BΜ…)

Answer:

K-map solution for F(A,B,C,D)

Answer:

FULL SUBTRACTOR:

A full subtractor is a combinational circuit that performs subtraction between two bits, taking into account borrow from the lower significant stages.

Full subtractor logic circuit

Answer:

a) Convert (1010110110)β‚‚ into gray code:

(1010110110)β‚‚

Binary to Gray code conversion

Final gray code is (1111101101)β‚‚

b) Minimize the function F(A, B, C) = Ξ£m(0, 2, 4, 7) and draw circuit diagram:

F(A, B, C) = Ξ£m(0, 2, 4, 7)

K-map minimization and circuit diagram

c) Explain half adder:

The logic circuit which performs the addition of 2 binary numbers is called a half adder.