Computer Oriented Statistical Methods

Master data analysis with computational statistics

6 Core Units
20+ Statistical Methods
35+ Problems
๐Ÿ“ˆ

About The Subject

Learn statistical analysis with computational tools

Overview

Computer Oriented Statistical Methods (COSM) focuses on applying statistical techniques and methods using computers. It combines the principles of statistics with computational tools to analyze, interpret, and visualize data efficiently. This subject helps in making data-driven decisions using programming and software-based analysis.

๐Ÿ“Š

Data Analysis

Gathering raw data and organizing it into meaningful categories for statistical analysis and interpretation.

๐ŸŽฏ

Central Tendency

Statistical measures like mean, median, and mode used to find the central value of datasets.

๐Ÿ“

Dispersion

Techniques such as range, variance, and standard deviation that show how data is spread.

๐Ÿ”—

Correlation & Regression

Methods to identify relationships between variables and predict outcomes based on existing data patterns.

๐ŸŽฒ

Probability

Study of random events and probability models like binomial, Poisson, and normal distribution.

๐Ÿ’ป

Computational Tools

Application of programming languages like Python, R, or tools to perform statistical calculations and visualization.

๐Ÿ‘จโ€๐Ÿซ

Faculty Information

Meet your course instructor

H

Dr. HASHMI

Professor

๐Ÿ“ž +91 9441777702
๐Ÿข Mathematics Department
๐Ÿ“‹

Syllabus

Complete course curriculum and topics

COSM Syllabus Part 1
COSM Syllabus Part 2
๐Ÿ“–

Study Materials

Download notes and reference materials

๐Ÿ“ฅ Download Notes PDF

Click to download the complete COSM notes (PDF, ~3.5MB)

โ“

Important Questions & Answers

Previous year questions with detailed solutions

Probability axioms solution part 1
Probability axioms solution part 2
Random variables solution part 1
Random variables solution part 2
Probability distribution solution part 1
Probability distribution solution part 2
Probability distribution solution part 3
Probability distribution solution part 4
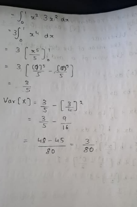
Continuous random variable solution part 1
Continuous random variable solution part 2
Continuous random variable solution part 3
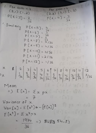
Dice probability solution part 1
Dice probability solution part 2
Dice probability solution part 3